joepucc.io
Work
School
Notes
Ideas
Essays
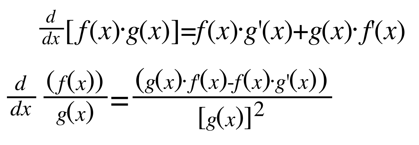
The Product Rule and the Quotient Rule
November 18, 2010
read more