read more
	

Brings up a question, write a proof to show that the derivative of e^x is e^x 

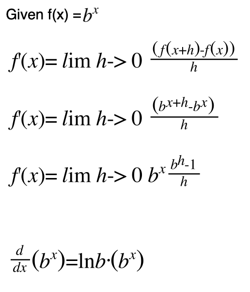
Prove that d/dx(b^x)=lnb*b^x