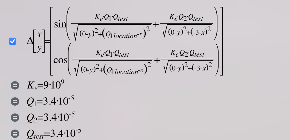
Attempting to model two charged particles moving and the resulting force vector field. Looks like I got the magnitudes correct but the directions were wrong (lol).
read more
Attempting to model two charged particles moving and the resulting force vector field. Looks like I got the magnitudes correct but the directions were wrong (lol).
read more